薄壁容器(球体)压力载荷计算器

输入值并单击计算。将显示结果。


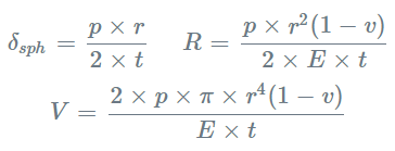
δsph = 应力 ---- p = 均匀内压
r = 半径 ---- t = 厚度 ---- v = 泊松比
E = 弹性模量 ---- R = 半径增加
V = 体积增加

输入您的值:

半径 (r):
m
厚度 (t):
m
弹性模量 (E):
109 N / m2
泊松比 (v):
m
均匀内压 (p):
106 N / m2

结果:

应力 (δsph):
106 N / m2
半径增加 (R):
10-6 m
体积增加 (V):
10-6 m3

什么是薄壁容器(球体)压力载荷计算器?

薄壁容器(球体)压力载荷计算器是一种用于确定承受内部压力的薄壁球形压力容器中的环向(圆周)应力的工具。

薄壁容器定义为壁厚(t)与内半径(r)之比为t/r ≤ 0.1的容器,这意味着应力被假定为均匀分布。


为什么要使用球形薄壁容器的压力载荷计算器?

  • 确保结构安全 – 通过检查应力极限来防止容器故障。
  • 优化材料选择 – 帮助工程师选择合适的压力容器材料。
  • 减少手动计算错误 – 提供即时准确的结果。
  • 各行各业的必备工具 – 用于航空航天、医疗、化学和工业应用。

例如,如果储气罐处于高压下,此计算器可帮助工程师确定储气罐的壁厚是否足以防止破裂。


如何使用计算器?

  1. 输入内部压力 (P) – 输入容器内部的压力,单位为帕斯卡 (Pa)。
  2. 输入内半径 (r) – 提供球体的内半径,单位为米 (m)。
  3. 输入壁厚 (t) – 指定容器壁厚,单位为米 (m)。
  4. 单击计算 – 计算器将使用公式计算环向应力 (σ)

何时使用此计算器?

  • 在压力容器设计中 – 确保适当的材料强度和厚度。
  • 在航空航天和汽车应用中 – 用于燃料箱和高压部件。
  • 在生物医学工程中 – 分析人造血管和植入物。
  • 化学和核工业 – 设计高压气体和液体储罐。
此计算器对您有帮助吗?
感谢您的反馈
我们很抱歉. :(
哪里出了问题?
关于此计算器
创建于  2024/12/17
更新 :
查看次数 :
作者:
向作者发送消息:
搜索计算器

探索全球数百万人信赖的数千款免费计算器.


有用的计算器
  • 什么是平方三角数计算器? 平方三角数计算器是一种用于查找平方数和三角数的数字的工具。 为什么使用平方三角数计算器? 快速计算 – 手动查找大平方三...
  • 什么是旋转马力计算器? 旋转马力计算器是一种用于计算旋转机械(如发动机、电动机或涡轮机)的马力 (HP)、扭矩和速度的工具。这些参数对于了解机械系统的性能至关...
  • 什么是非反相运算放大器电阻计算器? 非反相运算放大器 (Op-Amp) 电阻计算器是一种用于确定适当电阻值的工具,以便在非反相运算放大器电路中实现所需的增益。...
  • 什么是压力转换计算器? 压力转换计算器是一种用于在不同单位之间转换压力测量值的工具。压力是施加在单位面积上的力,根据所使用的系统(SI、英制或其他科学单位)以...
  • 什么是阿伏伽德罗常数计算器? 阿伏伽德罗常数计算器是一种工具,它可以帮助使用阿伏伽德罗常数(每摩尔 6.022 × 10²³ 个粒子)来确定物质中的粒子(原子...
  • 什么是佩克莱特数计算器? 佩克莱特数 (Pe) 是一个无量纲数,用于流体力学和热传递,描述对流与扩散传输的相对重要性。它将流体中的平流(整体流动)速率与扩散速...