螺旋弹簧计算器 - 弹簧指数、弹簧刚度、剪切应力、挠度

➤ 计算弹簧指数
➤ 计算总剪切应力
➤ 计算弹簧轴向挠度
➤ 计算弹簧率

计算弹簧指数


C = 弹簧指数
D = 弹簧直径
d = 线直径

输入您的值:

弹簧直径 (D):
m
线直径 (d):
m

结果:

弹簧指数 (C):

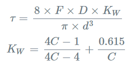
计算总剪切应力


τ = 总剪切应力
F = 轴向力
D = 弹簧直径
d = 线直径
Kw = Wahl 因子
C = 弹簧指数

轴向力 (F):
弹簧直径 (D):
线直径 (d):

结果:

总剪切应力 (t):
Newton/Meter2
弹簧指数 (C):
Wahl 因子 (Kw):

计算弹簧轴向挠度


δ = 弹簧轴向挠度
F = 轴向力
d = 线直径
N = 有效线圈数
G = 刚性模量
C = 弹簧指数

输入您的值:

轴向力 (F):
N
弹簧直径 (D):
m
线径 (d):
m
有效线圈数 (N):
刚性模量 (G):
N / m2

结果:

弹簧轴向挠度 (δ):

计算弹簧率


K = 弹簧刚度
d = 线径
N = 有效线圈数
G = 刚性模量
C = 弹簧指数

输入您的值:

弹簧直径 (D):
m
线径 (d):
m
刚性模量 (G):
N / m2
有效线圈数 (N):

结果:

弹簧刚度 (K):

什么是螺旋弹簧计算器?

螺旋弹簧计算器是一种根据特定输入参数计算螺旋弹簧各种属性(如其刚度、挠度和弹簧常数)的工具。螺旋弹簧通常用于机械系统中,用于储能、减震或施力,通常由可拉伸或压缩的卷线制成。计算器使用弹簧力学公式来确定弹簧在负载下的行为。


为什么使用螺旋弹簧计算器?

您会出于多种原因使用螺旋弹簧计算器

  • 弹簧设计:它可以帮助工程师为特定应用(例如汽车悬架、工业机器或电子设备)设计具有正确特性(刚度、承载能力等)的弹簧。
  • 精确负载分析:确定弹簧可以承受多大的力而不会永久断裂或变形,确保弹簧在其安全限度内工作。
  • 优化:在优化机械系统的性能时,计算器可以帮助选择正确的弹簧尺寸和材料,以满足特定的力和挠度要求。
  • 故障排除:用于更换或维修现有系统中的弹簧,计算器可以帮助确定所需的适当弹簧特性。

螺旋弹簧计算器如何工作?

螺旋弹簧计算器通常需要以下输入:

  • 弹簧材料特性:弹簧材料的刚性模量(剪切模量)。
  • 线径:弹簧所用线材的厚度。
  • 弹簧直径 (D):弹簧线圈的外径。
  • 线圈数 (N):弹簧中有效线圈的总数。
  • 施加的负载 (F):施加在弹簧上的力。
  • 弹簧长度或挠度:弹簧的总长度弹簧在压缩或拉伸时的性能。

何时使用螺旋弹簧计算器?

在以下情况下,您将使用螺旋弹簧计算器

  1. 为特定应用设计弹簧:在为特定设备或系统(例如汽车悬架、医疗设备、机械)设计弹簧时,确保弹簧具有正确的刚度和负载能力。
  2. 为现有系统选择弹簧:在为机器、车辆或结构选择替换弹簧时,以匹配所需的承载特性。
  3. 材料选择:通过计算弹簧的应力和挠度来帮助选择合适的弹簧材料,以确保其在正常工作条件下不会失效。
此计算器对您有帮助吗?
感谢您的反馈
我们很抱歉. :(
哪里出了问题?
关于此计算器
创建于  2024/12/17
更新 :
查看次数 :
作者:
向作者发送消息:
搜索计算器

探索全球数百万人信赖的数千款免费计算器.


有用的计算器
  • 什么是辐射暴露转换器? 辐射暴露转换器是一种帮助在不同单位之间转换辐射暴露测量值的工具。辐射暴露是指到达特定区域或被人或物体吸收的辐射量。它通常以伦琴 (R)...
  • 什么是平方和计算器? 平方和计算器是一种计算给定一组数字的平方和的工具。平方和通常用于统计、代数和数据分析,以测量变化和离散度。 为什么使用平方和计算...
  • 什么是向心加速度计算器? 向心加速度计算器是一种用于计算沿圆形路径移动的物体的加速度的工具。向心加速度 (ac) 是使物体保持圆周运动的向内加速度。 ...
  • 什么是横向强度计算器? 横向强度计算器是一种用于确定材料或结构在负载下的横向(弯曲)强度的工具。它计算梁、杆或类似物体在断裂或弯曲之前可以承受多大的力。 ...
  • 什么是矩形/平行四边形面积和周长计算器? 矩形/平行四边形面积和周长计算器是一种工具,可帮助您根据矩形和平行四边形的尺寸快速计算其面积和周长。计算器可以计算这...
  • 什么是电气谐波计算器? 电气谐波计算器是一种用于计算电气系统中谐波失真的工具。谐波是基频整数倍的电压或电流波(例如 50 Hz 或 60 Hz 电源频率)。这...