ベルヌーイの定理計算機 - 損失水頭、静水頭、プレッシャー、スピード、密度、重力による加速度

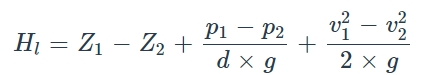
➤ ヘッド損失を計算
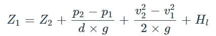
➤ 静ヘッド Z1 を計算
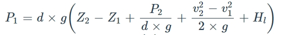
➤ 圧力 P1 を計算
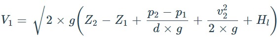
➤ 速度 V1 を計算

ヘッド損失を計算


HL = ヘッド損失
d = 密度
g = 重力加速度

値を入力してください:

静ヘッド Z1:
静ヘッド Z2:
圧力 P1:
圧力 P2:
速度 V1:
速度 V2:
密度:
重力加速度:

結果:

ヘッド損失:
Foot

静ヘッド Z1 を計算


d = 密度
g = 重力加速度
HL = ヘッド損失

値を入力してください:

静ヘッド Z2:
圧力 P1:
圧力 P2:
速度 V1
速度 V2:
密度:
重力加速度:
ヘッド損失:

結果:

静ヘッド Z1
Foot

圧力 P1 を計算


d = 密度
g = 重力加速度
HL = ヘッド損失

値を入力してください:

静ヘッド Z1::
静ヘッド Z2:
圧力 P2:
速度 V1:
速度 V2:
密度:
重力加速度:
ヘッド損失:

結果:

圧力 P1:
Pound/Foot2

速度 V1 を計算


d = 密度
g = 重力加速度
HL = ヘッド損失

値を入力してください:

静的ヘッド Z1:
静的ヘッド Z2:
圧力 P1:
圧力 P2
速度 V2:
密度:
重力加速度:
ヘッド損失:

結果:

静的ヘッド Z1
Foot/Second

ベルヌーイの定理計算機とは何ですか?

ベルヌーイの定理計算機は、ベルヌーイの方程式に基づいて流体力学の問題を解決するために使用されるツールです。非圧縮性で非粘性の流体の流線型の流れでは、総機械的エネルギー (圧力、運動エネルギー、および位置エネルギー) はどの流線に沿っても一定のままであるという原理を適用します。この計算機は、ベルヌーイの方程式を使用して、流体の圧力、速度、高さなどの未知の変数を見つけるのに役立ちます。


ベルヌーイの定理計算機を使用する理由

ベルヌーイの定理計算機が使用される理由:

  • 複雑な計算を簡素化: ベルヌーイの方程式の解を自動化し、流体力学の問題を簡単に解決できるようにします。
  • 精度を確保: 正確な結果が得られます。これは、エンジニアリングと物理学で非常に重要です。
  • 時間を節約: 方程式を手動で計算して解く代わりに、計算機は迅速な結果を提供します。これは、設計および分析タスクに役立ちます。

ベルヌーイの定理計算機を使用する場合

ベルヌーイ定理計算機は次の状況で使用されます:

  1. 流体システムの設計: エンジニアは、パイプラインや HVAC システムなどのシステムで流体の速度、圧力、高さの変化を判断するためにこれを使用します。
  2. 気流解析: 対気速度を計算したり、航空機の翼上の気流を理解するのに役立ちます。
  3. 水流解析: 水システムまたはパイプ内の圧力差と流速を計算するのに役立ちます。
  4. 物理システムの検証: さまざまな設定で流体の挙動を検証し、機械的エネルギー保存の原理に従っていることを確認するために使用されます。
この計算機は役に立ちましたか?
フィードバックありがとうございます
申し訳ございません. :(
何が問題でしたか?
この計算機について
作成日時  2025/1/8
更新日時 :
閲覧数 :
著者:
著者にメッセージを送信:
計算機を検索

世界中の何百万人ものユーザーが信頼する何千もの無料計算機を探索.


便利な計算機
  • 立方インチ計算機とは何ですか? 立方インチ計算機は、物体または空間の体積を 立方インチ (in³) で計算するために使用されるツールです。 3 次元で何かが占...
  • 百万から十万へのコンバーターとは何ですか? 百万から十万へのコンバーターは、百万 (M) と十万 (L) の間で数値を変換するのに役立つツールです。これは、イ...
  • 百万からクロレへのコンバーターとは何ですか? 百万からクロレへのコンバーターは、百万 (M) とクロレ (Cr) の間で数値を変換するツールです。これは、特に...
  • ボイルの法則計算機とは何ですか? ボイルの法則計算機は、温度とガスの量が一定である場合に、ガスの圧力と体積の関係を決定するために使用されるツールです。これは、...
  • 電極または直線ワイヤのインダクタンス計算機とは何ですか? 電極または直線ワイヤのインダクタンス計算機は、直線導体のインダクタンスを、その長さ、直径、周囲の媒体...
  • 調和平均計算機とは何ですか? 調和平均計算機は、一連の数値の調和平均を計算するために使用されるツールです。調和平均は平均の一種ですが、算術平均 (または単純平...