เครื่องคำนวณการหดตัวของท่อ

กรอกค่าแล้วคลิกคำนวณ ผลลัพธ์จะปรากฏขึ้น


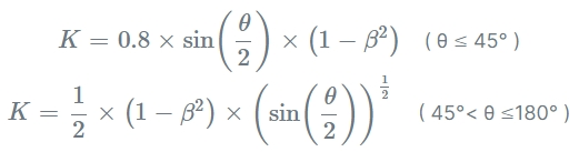
θ = Angle of Approach
β = dminor / dmajor

ป้อนค่าของคุณ:

มุมของวิธี :

( ป้อนมุมน้อยกว่า 180°)
β:

ผลลัพธ์:

k ค่า:

เครื่องคำนวณการหดตัวของท่อคืออะไร

A เครื่องคิดเลขการหดตัวของท่อ เป็นเครื่องมือที่ใช้ในการคำนวณการเปลี่ยนแปลงของลักษณะการไหลเช่นความเร็วและความดันเมื่อของเหลวผ่านการหดตัวของท่อ การหดตัวของท่อเกิดขึ้นเมื่อเส้นผ่านศูนย์กลางของท่อลดลงทำให้เกิดการเปลี่ยนแปลงของการไหลของของไหล เครื่องคิดเลขนี้ช่วยกำหนดความเร็วการลดลงของแรงดันและพารามิเตอร์ที่สำคัญอื่น ๆ เมื่อท่อหดตัวซึ่งมีความสำคัญในการออกแบบและวิเคราะห์ระบบของเหลวโดยเฉพาะอย่างยิ่งใน HVAC การกระจายน้ำและกระบวนการอุตสาหกรรม


ทำไมต้องใช้เครื่องคำนวณการหดตัวของท่อ?

  1. การวิเคราะห์การไหล : ช่วยให้วิศวกรเข้าใจว่าของเหลวทำงานอย่างไรเมื่อไหลผ่านนิกายที่ทำสัญญาไอออนของท่อช่วยในการออกแบบระบบที่มีประสิทธิภาพ
  2. การประมาณค่าความดันลดลง : เครื่องคิดเลขสามารถประเมินการลดลงของแรงดันเนื่องจากการหดตัวซึ่งเป็นสิ่งสำคัญสำหรับการเลือกปั๊มที่เหมาะสมและทำให้มั่นใจว่าระบบทำงานได้อย่างมีประสิทธิภาพ
  3. การเพิ่มประสิทธิภาพประสิทธิภาพ : โดยการทำความเข้าใจว่าการหดตัวมีผลต่อการไหลอย่างไรวิศวกรสามารถออกแบบระบบที่ลดการสูญเสียพลังงานและเพิ่มประสิทธิภาพประสิทธิภาพ
  4. ความปลอดภัย : การคำนวณผลกระทบของการหดตัวของท่ออย่างแม่นยำช่วยป้องกันปัญหาเช่นการเกิดโพรงอากาศหรือการสูญเสียความดันมากเกินไปซึ่งอาจนำไปสู่ความล้มเหลวของระบบ
  5. การประหยัดเวลา : ช่วยเร่งกระบวนการออกแบบและวิเคราะห์โดยการคำนวณที่ซับซ้อนโดยอัตโนมัติที่เกี่ยวข้องกับการหดตัวของท่อ
  6. -/ol>

    คุณควรใช้เครื่องคำนวณการหดตัวของท่อเมื่อใด

    • เมื่อออกแบบระบบการขนส่งของเหลว : ช่วยในการออกแบบระบบท่อโดยการทำความเข้าใจว่าของเหลวทำงานอย่างไรเมื่อไหลผ่านส่วนที่หดตัว (เช่นวาล์วหัวฉีด)
    • สำหรับการเลือกปั๊ม : แรงดันลดลงเนื่องจากการหดตัวอาจส่งผลกระทบต่อขนาดและความจุของปั๊มและเครื่องคิดเลขช่วยให้มั่นใจว่าปั๊มที่เหมาะสมถูกเลือก
    • ในการเพิ่มประสิทธิภาพเค้าโครงท่อ : การทำความเข้าใจว่าการหดตัวมีผลต่อการไหลและความดันช่วยให้เลย์เอาต์ของท่อเพิ่มประสิทธิภาพเพื่อลดการสูญเสียพลังงานได้อย่างไร
    • สำหรับการวิเคราะห์ประสิทธิภาพการใช้พลังงาน : เป็นสิ่งสำคัญเมื่อประเมินประสิทธิภาพของระบบของเหลวเนื่องจากการหดตัวมากเกินไปอาจนำไปสู่การสูญเสียความดันและการใช้พลังงานที่เพิ่มขึ้น
    • ในการแก้ไขปัญหา : หากระบบมีอัตราการไหลต่ำหรือพลังงานสูง COnsumption เครื่องคิดเลขช่วยระบุว่าการหดตัวทำให้เกิดแรงดันลดลงที่ไม่จำเป็น
เครื่องคำนวณนี้ช่วยคุณได้หรือไม่
ขอบคุณสำหรับคำติชม
ขออภัย. :(
เกิดอะไรขึ้น?
เกี่ยวกับเครื่องคิดเลขนี้
สร้างเมื่อ  2025/1/19
อัปเดต :
ดู :
ผู้เขียน:
ส่งข้อความถึงผู้เขียน:
ค้นหาเครื่องคิดเลข

สำรวจเครื่องคิดเลขฟรีนับพันเครื่องที่ผู้คนนับล้านทั่วโลกไว้วางใจ.


เครื่องคิดเลขที่มีประโยชน์